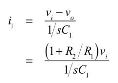
《ダウンロード》一覧
ダウンロードしたいデータを,フリーワードやカテゴリから探せます.
フリーワード検索
カテゴリ
- 画像
- Tech Village(組み込みネットなど)
- トランジスタ技術
- エレキジャック
- ディジタル・デザイン・テクノロジ
- Interface
- TECH I
- CQ ham radio
- エレキジャック・フォーラム
- Smartphone World
- TEST_広告
検索結果一覧
12844件ヒットしました.
«前の20件 ... 352 353 354 355 356 357 358 359 360 361 362 363 364 365 366 367 368 369 370 ... 次の20件»
«前の20件 ... 352 353 354 355 356 357 358 359 360 361 362 363 364 365 366 367 368 369 370 ... 次の20件»








