ハウランド電流源回路で作る4-20mA電流伝送回路
図1は,OPアンプ(ADA4510)(1)による改良型ハウランド電流源回路(2)で構成した4-20mA電流伝送回路を用いた,温度計測器のブロック図です.
この4-20mA電流伝送回路で,負荷抵抗(RL)が250Ωのときに,出力電流(IOUT)が20mAとなるよう,DA端子の電圧を設定しました.この状態でRLの値を500Ωに変更した場合,IOUTの値は(a)~(d)のどれになるでしょうか.

4-20mA電流伝送回路は,OPアンプを使用したハウランド電流源回路で構成している.
(a) 10mA (b) 13mA (c) 16mA (d) 20mA

図1の4-20mA電流伝送回路は,ブラッドフォード・ハウランド氏(Bradford Howland)によって考案されたハウランド電流源(ハウランド電流ポンプ)(3)を効率的に大きな電流を流せるように改良したものです.
まず,OPアンプの非反転入力端子と反転入力端子の電圧が等しいことを踏まえ,各部の電圧・電流から式を立てて,IOUTの式を求めます.その式に図1の定数を代入すれば,答えは簡単に分かります.
図1の回路の各部の電圧・電流から式を立てて得られた,IOUTの式には,次式のようにRLの項が存在します.
RL×(R1×R4-(R2+R5)×R3)
この式に図1の定数を代入すると,次式のようになり,RLの項が消去されます.
RL×(R1×R4-(R2+R5)×R3)=RL×(200k×100k-(99.9k+100)×200k)=RL×0
そのため,図1の回路のIOUTは,RLの値に依存しないことになります.つまり,RLが250Ωから500ΩになってもIOUTの値は20mAになります.
●改良型ハウランド電流源の動作解析
図2は,図1の4-20mA電流伝送回路で使われている,改良型ハウランド電流源の動作を解析するための回路です.各部の電圧・電流から式を立て,IOUTを表す式を求めます.

各部の電圧・電流から式を立て,IOUTを表す式を求める.
まず,正常に動作しているOPアンプの非反転入力端子と反転入力端子の電圧が等しいことから,C点の電圧(VC)とB点の電圧(VB)は等しく,式1で表されます.
・・・・・・・・・・・・・・・・・・・・・・・・・・・・・・・・・・(1)そして,C点の電圧はA点の電圧を抵抗R3とR4で分圧したものなので,式2が成立します.
・・・・・・・・・・・・・・・・・・・・・・・・・・・・・・(2)図2のO点の電圧は,負荷抵抗(RL)とRLに流れる電流(IOUT)を掛けたものなので,式3で表されます.
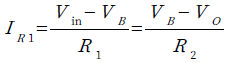
・・・・・・・・・・・・・・・・・・・・・・・・・・・・・・・・(3)抵抗(R1)に流れる電流(IR1)は,VinとB点の電圧差をR1で割ったものです.IR1はそのままR2にも流れます.そして,R2に流れる電流は,B点とO点の電圧差をR2で割ったものなので,式4が成立します.
・・・・・・・・・・・・・・・・・・・・・・・・・(4)抵抗(R5)に流れる電流はIOUTからIR1を引いたものです.A点の電圧は,O点の電圧にR5の電圧降下を足したものなので,式5で表すことができます.
・・・・・・・・・・・・・・・・・・・・・・・・・(5)式1~式5をIOUTについて解くと,式6が求まります.
・・・・・・・・・・・・・(6)式6の分母には赤字のRLの項が存在します.しかし,式7が成立するように定数を設定すると,RLの項を消去することができます.
・・・・・・・・・・・・・・・・・・・・・・・・・・・・(7)式7は式8のように変形することができます.
・・・・・・・・・・・・・・・・・・・・・・・・・・・・・・・・(8)式8が成立するように定数を設定することで,式6の分母のRLの項がなくなり,IOUTはRLの値に依存しない,定電流源として動作します.その場合,式6は式9のように単純化されます.
・・・・・・・・・・・・・・・・・・・・・(9)そして,さらに「R1=R3,R2+R5=R4」となるように定数を設定すると,式9は式10のように単純化できます.
・・・・・・・・・・・・・・・・・・・・・・・(10)式10より,IOUTはVinに比例し,R3,R4,R5で電流値を設定できることが分かります.
●4-20mA電流伝送回路を設計する
図3は,改良型ハウランド電流源を使用した4-20mA電流伝送回路です.式8および式10を使用して,この回路の定数を設定します.

Vinが0~5Vまで変化したときに,IOUTが0~25mAまで変化するように設定.
Vinが0~5Vまで変化したときに,IOUTが0~25mAまで変化するように設定することにします.
最初にR5の値を決めます.今回は,IOUTが25mAのときのR5の電圧降下2.5Vとなるような値とします.R1の電流はIOUTよりもかなり小さいため無視すると,R5は式11で求められます.
・・・・・・・・・・・・・・・・・・・・・・・・・・(11)次にR3およびR4の値を設定します.式10を式12のように変形し,R3とR4の比を求めます.
・・・・・・・・・・・・・・・・・・・・・・・(12)式12より,R4の値はR3の値の半分にすればよいことが分かります.ここで,R3を200kΩとすると,R4は100kΩとなります.「R1=R3,R4=R2+R5」とする必要があることを考慮して他の抵抗値を求めると,表1のようになります.この定数は,図1の回路と同じになっています.
| 抵抗 | 値 |
|---|---|
| R1 | 200kΩ |
| R2 | 99.9kΩ |
| R3 | 200kΩ |
| R4 | 100kΩ |
| R5 | 100Ω |
●4-20mA電流伝送回路を検証する
図4は改良型ハウランド電流源を使用した4-20mA電流伝送回路をシミュレーションするための回路です.

RLの値を250Ωと500Ωに変化させ,Vinを0~5Vまで10mVステップで変化させる.
Vinを0~5Vまで10mVステップで変化させるDC解析を行います.そして,RLの値を変数とし,「.stepコマンド」を使用して,250Ωと500Ωに変化させます.
図5は,図4のシミュレーション結果です.

RLの値によって,OUT端子の電圧は変化しているがRLの電流は変化していない.
上段がOUT端子の電圧で,下段がIOUT(RLの電流)です.OUT端子の電圧はRLの値によって変化していますが,IOUTはRLの値が変わってもまったく変化していません.これは,図4の回路が定電流源として動作していることを表しています.
●抵抗値ばらつきの影響を検証する
改良型ハウランド電流源は,式8の条件が成立していれば,出力電流(IOUT)は負荷抵抗(RL)の値に影響されません.しかし,抵抗値がばらついて,式8の条件を満たさなくなった場合は,RLの値によってIOUTが変動してしまいます.そこで,抵抗値がばらついた場合,RLの値によってIOUTがどの程度変化するのかをシミュレーションで検証します.
図6は,改良型ハウランド電流源の抵抗値ばらつきの影響を検証するための回路です.「.stepコマンド」で,R2の値を99.9kΩ,100kΩ,102kΩの3条件に変化させます.そして,Vinの値を5Vに固定し,「.stepコマンド」でRLの値を10Ωから500Ωまで変化させて動作点解析を行います.

R2の値を99.9kΩ,100kΩ,102kΩに変化させ,RLの値を10Ωから500Ωまで変化させる.
図7は,図6のシミュレーション結果で,横軸はRLの値となっています.R2が99.9kΩのとき,IOUTはRLの値が変化しても全く変化していません.R2が100kΩのときも,わずかしか変化していません.しかし,R2が102kΩのときは,RLの値が10Ωから500Ωになると,IOUTは0.8mAほど変化することが分かります.これは電流源としての出力抵抗が小さくなっていることを意味しています.

R2が99.9kΩのときはIOUTは変化しないが,R2が102kΩのときは0.8mAほど変化している.
以上,改良型ハウランド電流源を使用した4-20mA電流伝送回路について解説しました.改良型ハウランド電流源を出力電流が小さい用途に使用する場合は,トランジスタを省略し,OPアンプだけで構成することができます.
◆参考・引用×文献
(1) ADA4510データシート:アナログ・デバイセズ
(2) グランド接地型(グランドソース)電流源の誤差を最小限に抑える抵抗の選択:アナログ・デバイセズ
(3) ハウランド電流ポンプから負荷へ流れる電流はいくら?:CQ出版社
解説に使用しました,LTspiceの回路をダウンロードできます.
LTspice12_020.zip
●データ・ファイル内容
4_20mA_3.asc:図4の回路
4_20mA_3.plt:図5のグラフを描画するためのPlot settingsファイル
4_20mA_3_R2.asc:図6の回路
4_20mA_3_R2.plt:図7のグラフを描画するためのPlot settingsファイル
■LTspice関連リンク先
● LTspice ダウンロード先
● LTspice Users Club
● LTspice メール・マガジン全アーカイブs
◆ Season01 LTspice電子回路マラソン・アーカイブs
◆ Season02 LTspiceアナログ電子回路入門アーカイブs
◆ Season03 LTspice電源&アナログ回路入門アーカイブs
◆ Season04 IoT時代のLTspiceアナログ回路入門アーカイブs
◆ Season05 オームの法則から学ぶLTspiceアナログ回路入門アーカイブs
◆ Season06 LTspiceエデュケーショナル・ファイルで学ぶアナログ回路アーカイブs
◆ Season07 LTspiceドット・コマンドから学ぶアナログ回路アーカイブs
◆ Season08 LTspiceで始める実用電子回路入門アーカイブs
◆ Season09 LTspiceで学ぶオーディオ回路入門アーカイブs
◆ Season10 LTspiceとデータシートで学ぶ実践アナログ回路入門アーカイブs
◆ Season11 LTspiceとデータシートで学ぶ実践アナログ回路アーカイブs









