反転増幅回路とトランジスタで作る4-20mA電流伝送回路
図1は,OPアンプ(ADA4610)(1)による反転増幅回路とトランジスタで構成した,4-20mA電流伝送回路を用いた温度計測器のブロック図です.
この4-20mA電流伝送回路で,出力電流(IOUT)が20mAとなっている場合,DA端子の電圧は(a)~(d)のどれでしょうか.ただし,トランジスタのベース電流とR1,R2の電流は微小電流のため無視できるものとします.

4-20mA電流伝送回路は,OPアンプを使用した反転増幅回路とトランジスタで構成している.
(a) 3V (b) 3.5V (c) 4V (d) 4.5V

図1の回路は,OPアンプを反転増幅回路として使用しています.反転増幅回路のゲインを計算し,抵抗(R3)に発生する電圧から,DA端子の電圧を求めてください.
IOUTの電流が20mAのとき,抵抗(R3)に発生する電圧(VR3)は次式で2Vとなります.
VR3=IOUT*R3=20mA*100Ω=2V
反転増幅回路のゲイン(G)は次式で0.5です.
G=R2/R1=1Meg/2Meg=0.5
そのため,反転増幅回路の入力電圧であるDA端子の電圧(VDA)は,次の計算で4Vとなります.
VDA=VR3/G=2/0.5=4V
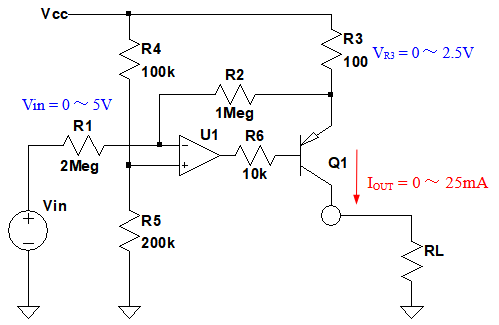
●反転増幅回路を使用した電圧電流変換回路
図2は,反転増幅回路とPNPトランジスタを使用した電圧電流変換回路です.

GND基準の入力電圧を,電源から下向きに流れる,吐き出し電流に変換することができる.
この回路は,GND基準の入力電圧を,電源から下向きに流れる,吐き出し電流に変換することができます.そのため,OPアンプ1個で,4-20mA電流伝送回路として使用することができます.
この回路がどのように動作するのか,計算します.図2の回路で,Ref端子の電圧(VRef)は,VCCをR4とR5で分圧したものなので,式1で表されます.
・・・・・・・・・・・・・・・・・・・・・・・・・・・・・(1)OPアンプ(U1)は,エミッタ・フォロアとして動作するトランジスタ(Q1)と共に,反転増幅回路を構成しています.反転増幅回路の出力であるE点の電圧(VE)は,式2で表されます.
・・・・・・・・・・・(2)式2のVRefに式1を代入すると,式3になります.
・・・・・・・・・・・・・・・・・・・・(3)ここで,式3のR1,R2,R4,R5の値を,式4が成立するように設定します.
・・・・・・・・・・・・・・・・・・・・・・・・・・・・・・(4)すると,式3は式5のようにシンプルな式になります.
・・・・・・・・・・・・・・・・・・・・・・・・・・・・・(5)抵抗(R3)の電圧(VR3)は,式6のように計算できます.
・・・・・・・・・・・・・(6)Q1のベース電流および,R1,R2に流れる電流を無視すると,IOUTは式7のように表されます.
・・・・・・・・・・・・・・・・・・・・・・・・・・(7)式7から分かるように,出力電流(IOUT)はVinに比例するため,この回路は電圧電流変換回路として動作することが分かります.
●4-20mA電流伝送回路を設計する
図3は,反転増幅回路とPNPトランジスタを使用した4-20mA電流伝送回路です.式4,式6,式7を使用して,この回路の定数を設定します.Vinが0~5Vまで変化したときに,IOUTが0~25mAまで変化するように設定します.

Vinが0~5Vまで変化したときに,IOUTが0~25mAまで変化するように設定.
最初にR1とR2の値を決めます.式6より,R1とR2の抵抗比でR3の電圧が決まることが分かります.今回は,Vinが0~5Vまで変化したときに,R3の電圧降下が0~2.5Vとなるよう,抵抗比を2:1とするために「R1=2MΩ,R2=1MΩ」とします.R1とR2に流れる電流が,IOUTに対して無視できるようにするため,大きな値としています.
次にR4とR5の値を決めます.式4の条件を満たすため,R5とR4の抵抗比もR1,R2と同様に2:1とする必要があります.そのため「R5=200kΩ,R4=100kΩ」とします.
最後にVinが5VのときにIOUTが25mAとなるよう,式7を変形した式8を使用して「R3=100Ω」とします.
・・・・・・・・・・・・・・・・・・・・(8)図1の定数は図3と同じになっています.この定数で,IOUTが20mAになるVinの値は,式7を変形した式9を使用して,4Vと計算することができます.
・・・・・・・・・・・・・・・・・・・・(9)なお,R6は実機で負荷抵抗RLが接続されず,Q1のコレクタがオープンになったときに,OPアンプ(U1)の出力電流を制限するための抵抗です.通常の動作には影響ありません.
●4-20mA電流伝送回路を検証する
図4は,反転増幅回路とPNPトランジスタを使用した4-20mA電流伝送回路をシミュレーションするための回路です.電源電圧をVCCという変数にして,「.step」コマンドで12Vと24Vに変化させ,Vinを0から5Vまで変化させるシミュレーションを行います.

電源電圧を12Vと24Vに変化させ,Vinを0から5Vまで変化させるシミュレーションを行う.
図5は,図4のシミュレーション結果です.上段がE点の電圧で,下段が出力電流です.

出力電流は0から25mAまで変化し,電源電圧の影響を受けていない.
E点の電圧は,電源電圧24VのときはVinの変化に応じて24Vから21.5Vまで変化し,電源電圧12Vのときは12Vから9.5Vまで変化しています.
一方,出力電流は0から25mAまで変化し,電源電圧の影響を受けていないことが分かります.
●4-20mA電流伝送回路の抵抗ばらつきの影響
図6は,図4の回路で,抵抗値がばらついたときの特性変動を検証するための回路です.

R4の値を98k,100k,102kと±2%変化させたときの特性をシミュレーションする.
図4の回路でR4とR5の抵抗比がずれたときの特性変動を調べるため,「.step」コマンドで,R4の値を98k,100k,102kと,100kΩから±2%変化させたときの特性をシミュレーションします.これは,R4とR5に1%精度の抵抗を使用したときの,ワースト・ケースのばらつきに相当するものです.
図7は,図6のシミュレーション結果です.R4の値が大きくなると,Vinが0Vでも電流が流れ,R4の値が小さくなると,Vinが0.3V以上にならないと電流が流れていません.

R4とR5の抵抗比がずれたときの特性変動が大きい.
反転増幅回路を使用した4-20mA電流伝送回路は,OPアンプ1つで構成できるという利点がありますが,抵抗ばらつきの影響を受けやすいことに注意が必要です.
以上,反転増幅回路とPNPトランジスタを使用した4-20mA電流伝送回路について解説しました.
次回は,1つのOPアンプとNPNトランジスタで構成できる,「ハウランド電流源を使用した 4-20mA電流伝送回路」について解説します.
◆参考・引用*文献
(1) ADA4610データシート:アナログ・デバイセズ
解説に使用しました,LTspiceの回路をダウンロードできます.
LTspice12_019.zip
●データ・ファイル内容
4_20mA_2.asc:図4の回路
4_20mA_2.plt:図5のグラフを描画するためのPlot settingsファイル
4_20mA_2_tol.asc:図6の回路
4_20mA_2_tol.plt:図7のグラフを描画するためのPlot settingsファイル
■LTspice関連リンク先
● LTspice ダウンロード先
● LTspice Users Club
● LTspice メール・マガジン全アーカイブs
◆ Season01 LTspice電子回路マラソン・アーカイブs
◆ Season02 LTspiceアナログ電子回路入門アーカイブs
◆ Season03 LTspice電源&アナログ回路入門アーカイブs
◆ Season04 IoT時代のLTspiceアナログ回路入門アーカイブs
◆ Season05 オームの法則から学ぶLTspiceアナログ回路入門アーカイブs
◆ Season06 LTspiceエデュケーショナル・ファイルで学ぶアナログ回路アーカイブs
◆ Season07 LTspiceドット・コマンドから学ぶアナログ回路アーカイブs
◆ Season08 LTspiceで始める実用電子回路入門アーカイブs
◆ Season09 LTspiceで学ぶオーディオ回路入門アーカイブs
◆ Season10 LTspiceとデータシートで学ぶ実践アナログ回路入門アーカイブs
◆ Season11 LTspiceとデータシートで学ぶ実践アナログ回路アーカイブs









