非反転増幅回路とトランジスタで作る4-20mA電流伝送回路
図1は,OPアンプ(ADA4510)(1)による非反転増幅回路とトランジスタで構成した,4-20mA電流伝送回路を用いた温度計測器のブロック図です.
この4-20mA電流伝送回路で,DA端子の電圧が1Vの場合,出力電流(IOUT)は,(a)~(d)のどれでしょうか.ただし,トランジスタのベース電流は無視できるものとします.

4-20mA電流伝送回路は,OPアンプを使用した非反転増幅回路と,トランジスタで構成している.
(a) 3mA (b) 4mA (c) 5mA (d) 6mA

4-20mAは,電流が4mA~20mAの範囲で出力されるという意味です.4-20mA(電流ループ)信号は,ノイズに強く長距離伝送が可能なため,工場の自動制御やプロセス監視で広く使われている標準的な仕様です.まず,OPアンプがゲイン1の非反転増幅回路として動作していることを踏まえ,トランジスタ(Q1)の電流を求めます.次に,その電流値からR2の電圧降下を計算し,Q2の電流を計算してください.
OPアンプ(U1)がゲイン1の非反転増幅回路として動作していることから,DA端子の電圧(VDA)と,Q1のエミッタ電圧は等しくなります.そのため,VDAが1Vのとき,R1の電流(IR1)は次のように50μAとなります.
IR1=VDA/R1=1/20k=50μA
この電流はR2に流れるため,R2の電圧降下(VR2)は次のように0.5Vとなります.
VR2=IR1*R2=50μA*10k=0.5V
U2もゲイン1の非反転増幅回路として動作していることから,R2の電圧降下とR3の電圧降下は等しくなります.そのため,R3の電流(IR3)は次のように5mAとなります.
IR3=VR2/R3=0.5/100=5mA
R3の電流は,IOUTと等しいため,IOUTは5mAとなります.
●4-20mA(電流ループ)信号の特長
4-20mA(電流ループ)信号は,産業機器で広く使われるアナログ信号伝送の標準規格です.計測機器の測定値を4mA~20mAの電流値で表現します.例えば,0℃~500℃の測定が可能な温度計測器の場合,0℃のときに4mAを出力し,500℃のときに20mAを出力します.
電流伝送は,配線抵抗による信号の減衰がなく,ノイズの影響を受けにくいという特長があるため,長距離伝送に向いています.このような,電流伝送の特長について,電圧伝送と比較して考えてみます.
▼ノイズの影響を受けやすいアナログ電圧出力
図2は,アナログ電圧出力で信号を伝達する場合のイメージ図です.送信回路から0~5Vのアナログ電圧(V0-5V)を出力し,受信回路で受信するものとします.

ここで,伝送ケーブルの抵抗をRcblとし,GNDラインにはノイズ(Vnoise)が重畳されているものとすると,受信回路で受信する電圧(Vin)は式1で表されます.
・・・・・・・・・・・・・・・・・・・・・・・(1)送信回路から送られた信号(V0-5V)は,ケーブル抵抗(Rcbl)によって減衰し,重畳されたノイズがそのまま加算されノイズの影響を受けやすくなります.
▼ノイズの影響を受けにくいアナログ電流出力
図3は,アナログ電流出力で信号を伝達する場合のイメージ図です.送信回路から4~20mAのアナログ電流(I4-20mA)を出力し,受信回路の抵抗で電圧に変換します.

図2と同様に伝送ケーブルの抵抗をRcblとし,GNDラインにはノイズ(Vnoise)が重畳されているものとした場合,受信回路で受信する電圧(Vin)は式2で表されます.
・・・・・・・・・・・・・・・・・・・・・・・・・・・・・・(2)送信回路から送られた信号(I4-20mA)は,ケーブル抵抗(Rcbl)や,重畳されたノイズ(Vnoise)の影響を受けず,受信回路の抵抗(RL)で電圧に変換されます.
このように,電流出力を使用すると,配線抵抗による信号の減衰がなく,ノイズの影響を受けにくくなります.また,出力電流値を0~20mAではなく,4~20mAとしているのは,電流が0mAのときは,断線や機器が故障していることが,すぐに分かるようにするためです.
4-20mA電流伝送回路には,さまざまな回路方式があります.今回の「非反転増幅回路とトランジスタで作る方式」や「反転増幅回路とトランジスタで作る方式」,「ハウランド電流源を使用した方式」などの回路方式です.これらの回路形式について3回連続で解説していきます.
●NPNトランジスタと非反転増幅回路で構成する吸い込み型の電流源
4-20mA電流伝送回路には,電圧電流変換回路が使用されています.図4は,非反転増幅回路とNPNトランジスタを使用した,電圧電流変換回路です.

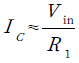
ICはVinをR1で割ったものになり,電圧電流変換回路として動作する.
OPアンプ(U1)は,ゲイン1の非反転増幅回路として動作し,トランジスタ(Q1)のエミッタ電圧をVinと等しくします.そのため「VE=Vin」となります.そして抵抗(R1)に流れる電流は,ベース電流を無視するとQ1のコレクタ電流(IC)と等しく,図4のICは,式3で表されます.
・・・・・・・・・・・・・・・・・・・・・・・・・・・・・・・・・・・(3)ICは,VinをR1で割ったものになり,電圧電流変換回路として動作します.この回路はGND側に電流を流す,吸い込み型の電流源となります.
●PNPトランジスタと非反転増幅回路で構成する吐き出し型の電流源
前述の図4は,吸い込み型の電流源として動作する電圧電流変換回路でしたが,4-20mA電流伝送回路には,吐き出し型の電流源として動作する電圧電流変換回路が必要になります.そのような電圧電流変換回路は,非反転増幅回路とPNPトランジスタで構成することができます.
図5は,非反転増幅回路とPNPトランジスタを使用した,電圧電流変換回路です.この回路も図4と同様,OPアンプが非反転増幅回路として動作し「VE=VCC-Vin」となります.

電流吐き出し型の電圧電流変換回路として動作する.
そして,電流吐き出し型の電圧電流変換回路として動作し,図5のICも,式3と同じ式4で表されます.
・・・・・・・・・・・・・・・・・・・・・・・・・・・・・・・・・・(4)
●4-20mA電流伝送回路を設計する
ここでは,図4と図5の電圧電流変換回路を使用して,4-20mA電流伝送回路を設計してみます.図6が,非反転増幅回路とトランジスタで構成した4-20mA電流伝送回路です.

Vinが5Vのとき,IOUTが25mAとなるように定数が設定されている.
図6でIC1は,式3を使用して式5のように表されます.
・・・・・・・・・・・・・・・・・・・・・・・・・・・・・・・・・・(5)R2の電圧降下(VR2)は,式6となります.
・・・・・・・・・・・・・・・・・・・・・・・・・・・(6)そして,IOUTは,式4,式6を使用して,式7のように表されます.
・・・・・・・・・・・・・・・・・・・・・・・・・・・・(7)式7を使用してVinとIOUTの関係が所望の特性となるよう,抵抗値を設定します.今回は,Vinが5VのときIOUTが25mAとなるように定数を設定します.
まず,R1の値を決めます.R1の値は自由に決めることができますが,ここではVinが5Vのときに,IC1が250μAとなる値に設定します.
式5を変形した式8を使用して,Vinが5VのときにIC1が250μAとなるR1を求めると,20kΩとなります.
・・・・・・・・・・・・・・・・・・・・・・・・・・・(8)そして,Vinが5VのときにR2の電圧降下が2.5Vとなるよう,R2はR1の半分の10kΩとします.
最後に,式7を変形した式9を使用して,Vinが5VのときIOUTが25mAとなるようなR3を求めると,100Ωとなります.
・・・・・・・・・・・・・・・・・・・・・・(9)なお,図6の定数は図1と同じになっています.図6において,問題文の条件であるVinが1VのときのIOUTは,式10のように,5mAと計算できます.
・・・・・・・・・・・・・・・・・・・・・・・・・・・・(10)
●4-20mA電流伝送回路を検証する
図7は,非反転増幅回路とトランジスタで構成した,4-20mA電流伝送回路を検証するための回路です.

「.DC」コマンドで,Vinを0V~5Vまで10mVステップで変化させるシミュレーションを行う.
電源は,24Vの単電源となっているため,レール・ツー・レール入出力高精度OPアンプのADA4510を使用しています.「.DC」コマンドを使用し,Vinを0V~5Vまで10mVステップで変化させるシミュレーションを行います.
図8は,図7のシミュレーション結果です.RLの電流(IOUT)をプロットしています.Vinが0V~5Vまで変化すると,IOUTは0~25mAまで変化し,Vinが1Vのとき,IOUTは5mAとなっていることが分かります.

Vinが0V~5Vまで変化すると,IOUTは0~25mAまで変化している.
以上,非反転増幅回路とトランジスタで構成した4-20mA電流伝送回路について解説しました.
実際の回路では,図7のRLが接続されず,Q2のコレクタがオープンとなった場合,OPアンプ(U2)に大きな電流が流れます.必要に応じて,Q2のベースに抵抗を接続する等の変更を加えてください.
◆参考・引用*文献
(1) ADA4510データシート:アナログデバイセズ
解説に使用しました,LTspiceの回路をダウンロードできます.
LTspice12_018.zip
●データ・ファイル内容
4_20mA_1_.asc:図7の回路
4_20mA_1_.plt:図8のグラフを描画するためのPlot settingsファイル
■LTspice関連リンク先
● LTspice ダウンロード先
● LTspice Users Club
● LTspice メール・マガジン全アーカイブs
◆ Season01 LTspice電子回路マラソン・アーカイブs
◆ Season02 LTspiceアナログ電子回路入門アーカイブs
◆ Season03 LTspice電源&アナログ回路入門アーカイブs
◆ Season04 IoT時代のLTspiceアナログ回路入門アーカイブs
◆ Season05 オームの法則から学ぶLTspiceアナログ回路入門アーカイブs
◆ Season06 LTspiceエデュケーショナル・ファイルで学ぶアナログ回路アーカイブs
◆ Season07 LTspiceドット・コマンドから学ぶアナログ回路アーカイブs
◆ Season08 LTspiceで始める実用電子回路入門アーカイブs
◆ Season09 LTspiceで学ぶオーディオ回路入門アーカイブs
◆ Season10 LTspiceとデータシートで学ぶ実践アナログ回路入門アーカイブs
◆ Season11 LTspiceとデータシートで学ぶ実践アナログ回路アーカイブs









