差動増幅回路とひずみゲージで作るキッチン・スケール
図1は,2つのOPアンプ(AD8538)(1)を使用した差動増幅回路と,ひずみゲージ注1を使用したキッチン・スケール(はかり)用の重量検出回路です.OUT端子は,マイコンのA-Dコンバータに接続され,マイコンが表示器に重量を表示します.
図2は,キッチン・スケールの模式図です.受け皿に置かれた物の重量に比例して弾性体がひずみ,そのひずみをひずみゲージで検出します.使用しているひずみゲージの抵抗値は350Ωで,その抵抗値は,重さ1gあたり+0.0008%変化するものとします.
受け皿の重さが50gで,その受け皿に100gの重りを乗せた場合,OUT端子の電圧は(a)~(d)のどれになるでしょうか.
ただし,受け皿が無いときのひずみゲージの抵抗値は350Ωになっているものとします.

使用しているひずみゲージの抵抗値は350Ωで,抵抗値は,1gあたり+0.0008%変化する.

重りの重量に比例して弾性体がひずみ,そのひずみをひずみゲージで検出する.
(a) 75mV (b) 100mV (c) 150mV (d) 200mV

まず,受け皿と重りによる,ひずみゲージの抵抗値の変化量を計算します.次にO1端子とO2端子の差電圧がいくつなるかを求めます.求めた差電圧に差動増幅回路のゲインを掛ければ,OUT端子の電圧が計算できます.
ひずみゲージの抵抗値は350Ωで,1gあたり+0.0008%変化することから,受け皿と重りによる,ひずみゲージの抵抗値の変化量ΔRは,次式で計算できます.
ΔR=350*(50+100)*0.000008=0.42
ΔRが0.42Ωのときの,O1端子とO2端子の差電圧(VO)は次のように1.5mVになります.
VO=ΔR*5/(4*350)=0.42*5/(4*350)=1.5mV
O1端子とO2端子の差電圧に対するゲイン(G)は次のように100倍になります.
G=(1+R1/R2)=(1+99k/1k)=100倍
OUT端子の電圧は,VOとGを掛けたものなので「1.5mV*100=150mV」となります.
●ひずみゲージとは
物体に力が加わると,その力に比例して物体が伸びたり縮んだりして変形します.このような変形をひずみと呼びますが,そのひずみの量を電気的に検出するセンサが,ひずみゲージです.
金属線に伸張方向の力が加わると,断面積が小さくなり,長さが長くなるため,抵抗値が大きくなります.逆に,金属線に伸縮方向の力が加わると,断面積が大きくなり,長さが短くなるため,抵抗値が小さくなります.
一般的なひずみゲージは,この金属線の抵抗値の変化を利用しています.ひずみゲージを物体と密着させることで,物体の伸縮を検出することができます.
●ブリッジ回路によるひずみ測定
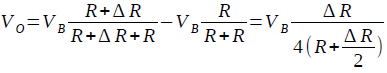
ひずみゲージの抵抗値変化は非常に小さいため,ひずみゲージを使用したひずみ量測定には,図3のようなブリッジ回路が使用されます.

ひずみが発生していないときの出力電圧が0Vとなる.
O1端子とO2端子の差電圧を出力電圧として使用します.ブリッジ回路を使用することで,ひずみが発生していないときの出力電圧が0Vとなり,ひずみゲージの抵抗値の変化を精度よく検出することができます.
図3の回路で,O1端子の電圧(VO1)は式1で表されます.
・・・・・・・・・・・・・・・・・・・・・・・・・・・・・・(1)O2端子の電圧(VO2)は式2で表されます.
・・・・・・・・・・・・・・・・・・・・・・・・・・・・・・・(2)O1端子とO2端子の差電圧(VO)は式3になります.
・・・・・・・・・・・・・・・・・・(3)ここで,R1=R2=R3=R,RSGの初期値=Rとします.すると式4のようにVOは0Vになります.
・・・・・・・・・・・・・・・・・・・・・・・・(4)次に,RSGがΔRだけ変化したときの出力電圧を計算すると,式5のようになります.
・・・・・・・・・・・・・・・(5)ここで,ひずみゲージの抵抗変化(ΔR)は非常に小さいため「R+ΔR/2≒R」と近似すると式6のようにシンプルな式とすることができます.
・・・・・・・・・・・・・・・・・・・・・・(6)
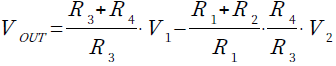
●1つのOPアンプで構成した一般的な差動増幅回路
差動増幅回路としては,抵抗と1つのOPアンプで構成した,図4の回路が広く使われています.

IN1端子の入力インピーダンスは(R3+R4)となり,IN2端子の入力インピーダンスはR1となる.
この回路のIN1端子の入力インピーダンスは(R3+R4)となり,IN2端子の入力インピーダンスはR1となります.そのため,この回路は入力インピーダンスをあまり大きくすることができません.
●2つのOPアンプで構成した入力インピーダンスの大きな差動増幅回路
図5は,2つのOPアンプと抵抗を使用した,入力インピーダンスの大きな差動増幅回路です.

IN1端子およびIN2端子はOPアンプの非反転入力端子に接続されている.
図5は,IN1端子およびIN2端子はOPアンプの非反転入力端子に接続されています.そのため,入力インピーダンスはOPアンプの入力インピーダンスと同じになり,非常に大きくなります.
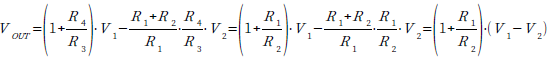
V1,V2が入力されたときの,図5の回路の出力電圧を求めてみます.まず,V2を0Vとし,V1のみ入力されたときの出力電圧(VOUT1)を求めます.V2が0Vのため,OPアンプU1の出力も0Vとなり,A点はGNDとみなすことができます.そのため,OPアンプU2は非反転増幅回路として動作し,その出力電圧は式7のようになります.
・・・・・・・・・・・・・・・・・・・・・・・・・・・・(7)次に,V1を0VとしV2のみ入力されたときの出力電圧(VOUT2)を求めます.このとき,OPアンプU1は非反転増幅回路として動作します.そして,V1が0Vのため,OPアンプU2は反転増幅回路として動作します.そのため,その出力電圧は式8のようになります.
・・・・・・・・・・・・・・・・・・・・・・・・(8)V1とV2が両方とも入力された場合の出力電圧(VOUT)は,式7と式8を足したもので,式9のように計算できます.
・・・・・・・・・・・・・・・・・・(9)ここで,式10が成立するように抵抗値を選択します.
・・・・・・・・・・・・・・・・・・・・・・・・・・・・・・・・・(10)そうすると式9は式11のように簡略化できます.
・・・・(11)つまり,V1とV2の差電圧に対するゲイン(G)は,式12のように表すことができます.
・・・・・・・・・・・・・・・・・・・・・・・・・・・・・・・(12)
●100gの重りを乗せたときのOUT端子の電圧を計算する
ここでは,図1の回路で,100gの重りを乗せた場合の出力電圧を計算してみます.
まず,50gの受け皿と100gの重りによる,ひずみゲージの抵抗値の変化量(ΔR)を求めます.
問題文から,このひずみゲージは1gあたり+0.0008%抵抗値が変化するため,ΔRは式13のように,0.42Ωと計算できます.
・・・・・・・・・・・・・・・・・・・・(13)
このとき,O1端子とO2端子の差電圧(VO)は式6を使用して,式14のように計算できます.
・・・・・・・・・・・・・・・・・・・・・・(14)
次に,VOを増幅する差動増幅回路のゲインは,式12を使用して式15のように100倍になります.
・・・・・・・・・・・・・・・・・・・・・・・・(15)
出力電圧(VOUT)は,式14,式15より「1.5mV*100=150mV」となります.
●ひずみゲージを使用した重量検出回路を検証する
図6は,ひずみゲージを使用した重量検出回路を検証するための回路です.

重りの重さを0gから500gまで10gステップで変化させるシミュレーションを行う.
RSGがひずみゲージに相当する抵抗で,その抵抗値はRGという変数になっています.RGの値は「350*(1+8u*(W+50))」という数式とし,重りの重さを表すWという変数を使用して,1gあたり0.0008%抵抗値が変化するようになっています.そして,「.step」コマンドを使用して,重りの重さを0gから500gまで10gステップで変化させるシミュレーションを行います.
図7が図6のシミュレーション結果です.横軸が重りの重さに相当する変数のWで,縦軸がOUT端子の電圧です.重りの重さが100gのとき,OUT端子の電圧は150mVとなっていることが分かります.

重りの重さが100gのとき,OUT端子の電圧は150mVとなっている.
以上,ひずみゲージを使用した重量検出回路について解説しました.今回紹介した回路は,ひずみゲージを1つだけ使用したものですが,互いに逆方向にひずみが発生する位置に取り付けた2つのひずみゲージを使用したものや,4つのひずみゲージを使用した回路も多く使われています.
◆参考・引用*文献
(1) AD8538データシート:アナログデバイセズ
(2) ひずみゲージとは:ミネベアミツミ
(3) はかりの基礎知識:はかり商店
解説に使用しました,LTspiceの回路をダウンロードできます.
LTspice12_016.zip
●データ・ファイル内容
kcn_scale.asc:図6の回路
kcn_scale.plt:図7のグラフを描画するためのPlot settingsファイル
res_diag.asy:斜め配置抵抗のシンボル・ファイル
■LTspice関連リンク先
● LTspice ダウンロード先
● LTspice Users Club
● LTspice メール・マガジン全アーカイブs
◆ Season01 LTspice電子回路マラソン・アーカイブs
◆ Season02 LTspiceアナログ電子回路入門アーカイブs
◆ Season03 LTspice電源&アナログ回路入門アーカイブs
◆ Season04 IoT時代のLTspiceアナログ回路入門アーカイブs
◆ Season05 オームの法則から学ぶLTspiceアナログ回路入門アーカイブs
◆ Season06 LTspiceエデュケーショナル・ファイルで学ぶアナログ回路アーカイブs
◆ Season07 LTspiceドット・コマンドから学ぶアナログ回路アーカイブs
◆ Season08 LTspiceで始める実用電子回路入門アーカイブs
◆ Season09 LTspiceで学ぶオーディオ回路入門アーカイブs
◆ Season10 LTspiceとデータシートで学ぶ実践アナログ回路入門アーカイブs
◆ Season11 LTspiceとデータシートで学ぶ実践アナログ回路アーカイブs









