差動増幅回路で作るオーディオ用バランス型レシーバ
図1は,2つのOPアンプ(ADA4075)(1)で構成された,差動増幅回路を使用した,オーディオ用バランス型レシーバの回路図です.XLRコネクタ注1から入力されたバランス・オーディオ信号を,単一のオーディオ信号に変換します.
この回路で,Hot端子にピーク電圧0.5V,400Hzの正弦波が入力され,Cold端子にHot端子とは逆位相で,ピーク電圧0.5V,400Hzの正弦波が入力されているとき,Out端子の波形のピーク電圧は(a)~(d)のどれになるでしょうか.

Hot端子とCold端子に,互いに逆位相でピーク電圧0.5V,400Hzの正弦波が入力されている.
(a) 0.25V (b) 0.5V (c) 1V (d) 2V

図1の差動増幅回路は,2つの反転増幅回路を組み合わせて構成されています.それぞれの増幅回路のゲインから,Out端子までのゲインを計算することができます.
ゲインが分かれば,Out端子の波形のピーク電圧は,簡単に計算できます.
Hot端子からOut端子までは,OPアンプのU1とU2を使用した2段の反転増幅回路があるため,ゲインは次式となります.
(R2/R1)*(R5/R4)
また,Cold端子からOut端子まではU2を使用した1段の反転増幅回路で,ゲインは次式です.
-R5/R3
Hot端子の電圧をVH,Cold端子の電圧をVCとすると,Out端子の電圧(VOut)は次式となり
VOut=VH*(R2/R1)*(R5/R4)-VC*(R5/R3)
ここで「R2/R1=R4/R3」とすると次式となります.
VOut=(VH-VC)*(R5/R3)
VHを0.5,VCは逆位相なので-0.5とするとVOutは次のように0.5Vになります.
VOut=(0.5-(-0.5))*(10k/20k)=0.5
●オーディオ信号伝送に使用されるケーブルの種類
一般的な家庭用オーディオ機器間の接続は,図2のようなRCAケーブルが使用されています.RCAケーブルで伝送するオーディオ信号は,単一信号(アンバランス信号)です.

一方,業務用オーディオ機器では,図3のようなXLRケーブルが使用されています.XLRケーブルで伝送するオーディオ信号は,正相と逆相の2つで構成されたバランス信号です.

●ノイズ混入を防ぐバランス伝送
オーディオ装置間の距離が近く,伝送距離が短い場合は,RCAケーブルを使用した単一信号で伝送しても大きな問題はありません.ただし,伝送距離が長くなると,ケーブルに混入するノイズが無視できなくなります.
図4はRCAケーブルを使用して信号伝送を行っているときの模式図です.GNDラインに電灯線からのハム・ノイズが混入すると,そのノイズはそのまま,信号入力機器に伝わってしまいます.

GNDラインにハム・ノイズが混入すると,そのノイズはそのまま,信号入力機器に伝わる.
このようなとき,バランス信号を使用して伝送すると,ノイズの影響を軽減することができます.図5は,XLRケーブルを使用して,バランス伝送をおこなっているときの模式図です.

信号入力機器内部で信号の引き算を行うと,同位相のハムノイズは打ち消される.
GNDラインにハム・ノイズが混入すると,Hot端子とCold端子の信号は,同じハム・ノイズが重畳したものになります.このようなとき,信号入力機器内部で,Hot端子とCold端子の信号の引き算を行うと,同位相のハムノイズを打ち消すことができます.一方,伝送したい信号は互いに逆位相になっているため,2倍の振幅となります.このように,バランス伝送を行うことで,ノイズの混入を防ぐことができます.
●反転増幅回路で構成した差動増幅回路
図6は,図1と同じ,反転増幅回路で構成した差動増幅回路(2)の動作を解析する回路図です.この回路は反転増幅回路を使用することで,2つの入力端子の入力抵抗が等しく,許容入力が大きいという特長があります.

Out端子の電圧はV1とV2の差電圧をR5/R3倍したものになる.
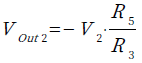
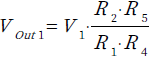
図6の回路で,Hot端子にV1という信号を加え,Cold端子にV2という信号を加えたときの,Out端子の信号を計算してみます.まず,V2が0Vの状態で,V1のみを入力したときのOut端子の電圧(VOut1)は式1で表されます.
・・・・・・・・・・・・・・・・・・・・・・・・・・・・・・(1)次に,V1を0VとしてV2のみを入力したときのOut端子の電圧(VOut2)は式2で表されます.
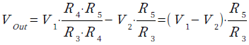
・・・・・・・・・・・・・・・・・・・・・・・・・・・・・・(2)式1,式2より,V1とV2が入力されたときのOut端子の電圧(VOut)は式3となります.
・・・・・・・・・・・・・・・・・・・・・・・・・(3)ここで「R2/R1=R4/R3」とすると,式3は式4のように簡略化できます.
・・・・・・・・・・・・・・・・・(4)式4から分かるように,Out端子の電圧はV1とV2の差電圧をR5/R3倍したものになります.V1とV2に同相成分が含まれていた場合,同相成分は打ち消され,Out端子には出力されません. 図1の問題文の条件を代入すると,Out端子の信号のピーク電圧は式5のように0.5Vとなります.
・・・・・・・・・・・・・・・・(5)
●オーディオ用バランス型レシーバを検証する
図7は,差動増幅回路を使用した,オーディオ用バランス型レシーバを検証する回路図です.VHはピーク電圧0.5V,400Hzの正弦波を発生します.VCもピーク電圧0.5V,400Hzの正弦波を発生しますが,VHとは極性が逆となっています.また,G端子には,ピーク電圧0.5V,50Hzの正弦波をノイズとして加えています.

VHとVCはピーク電圧0.5V,400Hzの正弦波で,G端子には50Hzのノイズを加えている.
図8が図7のシミュレーション結果です.

Out端子は50Hzのノイズ成分が消え,ピーク電圧0.5V,400Hzの正弦波のみとなっている.
上段が,VHとVCの出力波形で,互いに逆位相でピーク電圧0.5V,400Hzの正弦波となっています.中段が,Hot端子とCold端子の波形です.400Hzの信号に50Hzのノイズが混入した波形となっています.
下段がOut端子の出力波形です.50Hzのノイズ成分は消え,ピーク電圧0.5V,400Hzの正弦波のみとなっています.
以上,オーディオ用バランス型レシーバについて解説しました.オーディオ信号をバランス伝送するときに使用するケーブルには,今回紹介したXLR端子以外に,ヘッドホン端子と同じ形状の6.3mmTRS端子なども使用されています.
◆参考・引用*文献
(1)AD4075データシート:アナログデバイセズ
(2)第四巻 OPアンプによる増幅回路の設計技法(P63 図1-23):アナログデバイセズ
解説に使用しました,LTspiceの回路をダウンロードできます.
LTspice12_014.zip
●データ・ファイル内容
Balun_amp_noise_tran.asc:図7の回路
Balun_amp_noise_tran.plt:図8のグラフを描画するためのPlot settingsファイル
■LTspice関連リンク先
● LTspice ダウンロード先
● LTspice Users Club
● LTspice メール・マガジン全アーカイブs
◆ Season01 LTspice電子回路マラソン・アーカイブs
◆ Season02 LTspiceアナログ電子回路入門アーカイブs
◆ Season03 LTspice電源&アナログ回路入門アーカイブs
◆ Season04 IoT時代のLTspiceアナログ回路入門アーカイブs
◆ Season05 オームの法則から学ぶLTspiceアナログ回路入門アーカイブs
◆ Season06 LTspiceエデュケーショナル・ファイルで学ぶアナログ回路アーカイブs
◆ Season07 LTspiceドット・コマンドから学ぶアナログ回路アーカイブs
◆ Season08 LTspiceで始める実用電子回路入門アーカイブs
◆ Season09 LTspiceで学ぶオーディオ回路入門アーカイブs
◆ Season10 LTspiceとデータシートで学ぶ実践アナログ回路入門アーカイブs
◆ Season11 LTspiceとデータシートで学ぶ実践アナログ回路アーカイブs









