差動増幅回路で作るモータ電流検出回路
図1は,OPアンプ(ADA4077)(1)と4本の抵抗で構成された差動増幅回路を使用した,モータ電流検出回路です.モータ電流をA-Dコンバータで計測できるように,電流検出抵抗(RS)で電圧に変換し,差動増幅回路で増幅しています.そして差動増幅回路の出力(OUT)は,マイコンのA-Dコンバータに接続されています.
RSが10mΩで,電源ラインとGNDラインの配線抵抗もそれぞれ10mΩとなっています.この回路で,モータ電流(IM)が2Aだった場合,OUT端子の電圧は(a)~(d)のどれになるでしょうか.

モータ電流が2Aだった場合,OUT端子の電圧は(a)~(d)のどれになるでしょうか.
(a) 1V (b) 2V (c) 3V (d) 6V

抵抗(RS)にはモータ電流に比例した電圧が発生します.その電圧が差動増幅回路で何倍に増幅されるかを考えれば,答えが分かります.
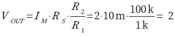
抵抗(RS)に発生する電圧は,RSとIMを掛けたもので「10mΩ*2A=20mV」となります.また,差動増幅回路のゲインは「R2/R1」で計算することができ「100k/1k=100倍」となります.そのため,OUT端子の電圧は「20mV*100=2V」となります.
●電流検出抵抗の値が大きい場合の利点と欠点
モータやバッテリなどに流れる電流を検出する,最も簡単な方法は,直列に抵抗を挿入して,電流を電圧に変換する方法です.図2は,電流検出抵抗(RS)に図1よりも大きな1Ωの抵抗を接続した,電流検出回路です.

RSに発生する無駄な電力が非常に大きいという問題がある.
この回路では,モータ電流(IM)が0~5Aまで変化すると,OUT端子の電圧は0~5Vまで変化します.そのため,電圧を増幅せずに,OUT端子の電圧を直接マイコンのA-Dコンバータに入力することができます.しかし,図2の回路は,抵抗(RS)に発生する無駄な電力が非常に大きい,という問題があります.IMが5Aのときに,RSで発生する電力は,25Wにもなります.
●電流検出抵抗の値が小さく非反転増幅回路を使用した場合の利点と欠点
図3は,電流検出抵抗(RS)の値を,図2の1/100の10mΩ(図1と同じ)にして,ゲイン100倍の非反転増幅回路を追加したものです.モータ電流(IM)が0~5Aまで変化するとRSに発生する電圧は,0~50mVになります.IMが5Aのときに,RSに発生する無駄電力は図2の1/100の250mWまで小さくなります.

配線抵抗に発生する電圧も同時に増幅してしまうため,想定した動作とはならない.
RSに発生する電圧を100倍した電圧は,図2と同様,0~5Vになります.しかし,図3の回路では配線抵抗に発生する電圧も同時に増幅してしまうため,想定した動作とはなりません.配線抵抗の値をRWとすると,OUT端子の電圧(VOUT)は式1で表されます.
・・・・・・・・・・・・・・・・・・・・・・(1)RSを小さくすると,RWを無視することができず,大きな誤差が発生します.
●非反転増幅回路を使用した電流検出回路を検証する
図4は,図3の非反転増幅回路を使用した電流検出回路を検証するための回路です.使用しているOPアンプは,図1と同じオフセット電圧が非常に小さいADA4077です.「.step」コマンドで,配線抵抗(RW1,RW2)の値を1μΩと10mΩに切り替え,IMを0~5Aまで変化させるシミュレーションを行います.

配線抵抗(RW1,RW2)の値を1μΩと10mΩに切り替え,IMを0~5Aまで変化させる.
図5は,図4のシミュレーション結果です.RWが1μΩのときは,IMが5AでOUT端子の電圧が5Vとなっていますが,RWが10mΩのときは,IMが2.5Aで5Vとなっています.このように,図4の回路は,配線抵抗の影響を強く受けてしまうことが分かります.

OUT端子の電圧は,配線抵抗の影響を強く受けてしまうことが分かる.
●差動増幅回路は2点間の差電圧を増幅する
図6は,OPアンプと4本の抵抗で構成した差動増幅回路です.

A点とB点の差電圧を「R2/R1」倍してOUT端子に出力する.
図6の回路で「R4/R3=R2/R1」となるように定数を設定すると,OUT端子の電圧(VOUT)は式2で表されます(2).
・・・・・・・・・・・・・・・・・・・・・・・・・・・(2)この回路はA点とB点の差電圧を「R2/R1」倍してOUT端子に出力します.
●モータ電流検出回路の出力電圧を計算する
図1のモータ電流検出回路は,この差動増幅回路を使用しているため,OUT端子の電圧は,式3で表されることになります.
・・・・・・・・・・・・・・・・・・・・・・・・・・・・・・(3)
式3には配線抵抗(RW)が含まれないため,配線抵抗の影響を受けません.図1の定数を式3に代入すると,式4のように,モータ電流(IM)が2AのときのOUT端子の電圧は2Vとなることが分かります.
・・・・・・・・・・・・・・・・・・・(4)
●差動増幅回路を使用した電流検出回路を検証する
図7は,図1をシミュレーションするための回路です.図4と同様に,「.step」コマンドで,配線抵抗(RW1,RW2)の値を1μΩと10mΩに切り替え,IMを0~5Aまで変化させるシミュレーションを行います.

(RW1,RW2)の値を1μΩと10mΩに切り替え,IMを0~5Aまで変化させるシミュレーションを行う.
図8が図7のシミュレーション結果です.上段がA点の電圧で,下段がOUT端子の電圧です.A点の電圧は,配線抵抗の値によって2本の直線となっていますが,OUT端子の電圧は,完全に重なっており,配線抵抗の影響を受けていないことが分かります.

OUT端子の電圧は,配線抵抗の影響を受けていないことが分かる.
以上,差動増幅回路を使用した電流検出回路について解説しました.電流検出抵抗(RS)の値を小さくするほど,無駄な電力消費が減りますが,検出電圧が小さくなります.検出電圧が小さくなると,OPアンプのオフセット電圧の影響が無視できなくなるため,OPアンプの選定には注意が必要です.
◆参考・引用*文献
(1) ADA4077データシート:アナログデバイセズ
(2) 差動増幅回路で作るボーカル・キャンセル回路 ―― LTspiceで学ぶカテゴリ/応用分野別OPアンプ回路46選:CQ出版社
解説に使用しました,LTspiceの回路をダウンロードできます.
LTspice12_012.zip
●データ・ファイル内容
I_sens_N.asc:図4の回路
I_sens_N.plt:図5のグラフを描画するためのPlot settingsファイル
I_sens.asc:図7の回路
I_sens.plt:図8のグラフを描画するためのPlot settingsファイル
■LTspice関連リンク先
● LTspice ダウンロード先
● LTspice Users Club
● LTspice メール・マガジン全アーカイブs
◆ Season01 LTspice電子回路マラソン・アーカイブs
◆ Season02 LTspiceアナログ電子回路入門アーカイブs
◆ Season03 LTspice電源&アナログ回路入門アーカイブs
◆ Season04 IoT時代のLTspiceアナログ回路入門アーカイブs
◆ Season05 オームの法則から学ぶLTspiceアナログ回路入門アーカイブs
◆ Season06 LTspiceエデュケーショナル・ファイルで学ぶアナログ回路アーカイブs
◆ Season07 LTspiceドット・コマンドから学ぶアナログ回路アーカイブs
◆ Season08 LTspiceで始める実用電子回路入門アーカイブs
◆ Season09 LTspiceで学ぶオーディオ回路入門アーカイブs
◆ Season10 LTspiceとデータシートで学ぶ実践アナログ回路入門アーカイブs
◆ Season11 LTspiceとデータシートで学ぶ実践アナログ回路アーカイブs









