反転・非反転切り替え型同期検波回路で作る汚れ検査装置
図1は,製品表面の汚れを検査する装置のブロック図です.OPアンプ(ADA4077)(1)とアナログ・スイッチ(ADG619)(2)による同期検波回路を使用しています.
表面センサは,クロック信号(CK)に同期して点滅するLEDで対象物に光を照射し,フォトダイオード(PD)で反射光を検出します.PDの電流信号は,電圧に変換され,交流増幅回路で増幅し,IN端子に出力します.
ここで,図1内の波形のように,CK端子が5V振幅の矩形波で,IN端子がCKの矩形波に同期したピーク電圧1Vの正弦波だった場合,OUT端子の波形は図2の(a)~(d)のどれになるでしょうか.なお,スイッチは,CK信号が5Vのとき,S1側に接続されるものとします.

スイッチはCK信号が5Vのとき,S1側に接続される.

IN端子とCK端子の波形が図1の波形のとき,OUT端子の波形は?
(a)の波形,(b)の波形,(c)の波形,(d)の波形

スイッチが,S1側に接続されている場合とS2側に接続されている場合で,OPアンプの動作がどのように変化するかを考えれば,答えが分かります.
CK端子の電圧が5Vのとき,スイッチは,S1側に接続され,OPアンプはゲイン1の非反転増幅回路として動作します.そのため,OUT端子にはIN端子と同じ,正の波形が出力されます.
次に,CK端子の電圧が0Vになると,スイッチは,S2側に接続されます.すると,OPアンプはゲイン1の反転増幅回路として動作します.その結果,OUT端子にはIN端子と反転した,正の波形が出力されます.このような波形となっているのは(a)なので,正解は(a)の波形となります.
●同期検波を使用したロックイン・アンプ
変調技術と同期検波を使用すると,微弱で周波数の低い信号を,高感度に検出することができます.このようなシステムは,ロックイン・アンプと呼ばれています.図1の回路では,LEDの点滅によって反射光を変調し,OPアンプ(ADA4077)とスイッチ(ADG619)による同期検波回路で信号を取り出します.
●反転・非反転切り替え増幅回路
図1の回路では,同期検波回路に反転・非反転切り替え増幅回路を使用しています.ここでは,図1の反転・非反転切り替え増幅回路の動作を解説します.
図3は,図1の回路で,スイッチがS2側に接続されているときの回路図です.この回路は基本的な反転増幅回路そのものです.

スイッチがS2側に接続されているときの回路図
そのため,この回路のゲイン(G)は式1で表され「R1=R2」のときのゲインは-1となります.
・・・・・・・・・・・・・・・・・・・・・・・・・・・・・・・・・・(1)図4は,図1の回路で,スイッチがS1側に接続されているときの回路図です.

スイッチがS1側に接続されているときの回路図.
図4のゲインを直感的に導くのは難しいため,図5の回路を使用してゲインを求めます.図5(a)は図4と同じものです.図5(b)は,図5(a)の信号源を2つに分けたものです.2つに分けた信号源の,それぞれのゲインを求め,その結果を使用して,図5(a)のゲインを求めます.

図5(b)のように2つの信号源がある場合,図5(c),図5(d)のように,1つの信号源以外はGNDとしてそれぞれの出力電圧を計算し,最後にそれらを加算することで,ゲインを計算することができます.
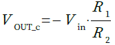
図5(c)は,反転増幅回路のため,出力電圧(VOUT_c)は式2で表されます.
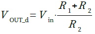
・・・・・・・・・・・・・・・・・・・・・・・・・・・・・(2)図5(d)は,非反転増幅回路として動作し,出力電圧(VOUT_d)は式3で表されます.
・・・・・・・・・・・・・・・・・・・・・・・・・・・(3)図5(b)の出力電圧(VOUT_b)は,式2と式3を加算したものなので,式4のように計算することができます.
・・・・・・・・・・・・(4)式4から分かるように,出力はVinと同じになります.図5(a)のゲインは図5(b)と同じため,スイッチがS1側に接続されているときのゲインは1となります.まとめると,スイッチがS2側に接続されているときは反転増幅回路となり,スイッチがS1側に接続されているときは,ゲイン1の非反転増幅回路になります.
●反転・非反転切り替え増幅回路の動作を検証する
図6は,反転・非反転切り替え増幅回路の,同期検波回路としての動作をシミュレーションするための回路です.

CK端子は振幅5Vで周波数1kHzの矩形波で,IN端子はピーク電圧1Vで1kHzの正弦波.
LTspiceに登録されているスイッチ(ADG619)のモデルは,S1,S2の端子名がデータシートとは異なっているため,新たにサブサーキット用のシンボルを作っています.CK端子に振幅5Vで周波数1kHzの矩形波を入力し,IN端子にはピーク電圧1Vで1kHzの正弦波を入力しています.
図7は,図6のシミュレーション結果です.上段がIN端子の波形で,中段がCK端子の波形,下段がOUT端子の波形で,IN端子の波形を全波整流した波形となっています.

OUT端子は,IN端子の波形を全波整流した波形となっている.
CK端子の電圧が5Vのときはゲイン1の非反転増幅回路として動作し,IN端子の波形がそのままOUT端子に出力されています.また,CK端子の電圧が0Vのときは,ゲイン1の反転増幅回路として動作し,IN端子の電圧の正負を反転した波形がOUT端子に出力されています.このように,反転・非反転切り替え増幅回路は,同期検波回路として動作することが分かります.
●スイッチ1つで作る反転・非反転切り替え増幅回路
図3の反転・非反転切り替え増幅回路は,スイッチが2つ必要でしたが,1つのスイッチで反転・非反転切り替え増幅回路を構成することもできます.図8がスイッチ1つで実現した,反転・非反転切り替え増幅回路です.図8の回路は,スイッチ(SW)がOFFのときにゲイン1の非反転増幅回路となり,SWがONのとき,反転増幅回路として動作します.

SWがOFFのとき,ゲイン1の非反転増幅回路となり,ONのとき,反転増幅回路として動作する.
●スイッチ1つで構成した反転・非反転切り替え増幅回路を検証する
図9は,スイッチ1つで構成した反転・非反転切り替え増幅回路をシミュレーションするための回路図です.スイッチにはMOSFET(M1,M2)を使用しています.M1とドレイン・ソースを逆接続したM2を直列接続することで,ボディ・ダイオードによる誤動作を防止しています.

M1とドレイン・ソースを逆接続したM2を直列接続し,ボディ・ダイオードによる誤動作を防止.
図10は,図9のシミュレーション結果です.図7と同様に,上段がIN端子の波形で,中段がCK端子の波形,下段がOUT端子の波形で,IN端子の波形を全波整流した波形となっています.

OUT端子の波形は,IN端子の波形を全波整流した波形となっているが,ひげ状のノイズが混入.
しかし,CK信号の立下りに同期したひげ状のノイズが混入しています.これはMOSFETがOFFする際,M2のゲート・ソース容量を介して,CK信号の立下り電圧がIN端子に混入してしまうためです.図9の回路を使用する場合は,この点に注意が必要です.
以上,反転・非反転切り替え増幅回路で作る同期検波回路について解説しました.微小信号を高精度に計測できる,ロックイン・アンプに関する詳しい解説は,参考文献(3)を参照してください.
◆参考・引用*文献
(1) ADA4077データシート:アナログデバイセズ
(2) ADG619データシート:アナログデバイセズ
(3) 同期検波を活用し,微小信号を高精度に計測:アナログデバイセズ
解説に使用しました,LTspiceの回路をダウンロードできます.
LTspice12_010.zip
●データ・ファイル内容
Sync_det.asc:図6の回路
Sync_det.plt:図7のグラフを描画するためのPlot settingsファイル
Sync_det_1SW.asc:図9の回路
Sync_det_1SW.plt:図10のグラフを描画するためのPlot settingsファイル
■LTspice関連リンク先
● LTspice ダウンロード先
● LTspice Users Club
● LTspice メール・マガジン全アーカイブs
◆ Season01 LTspice電子回路マラソン・アーカイブs
◆ Season02 LTspiceアナログ電子回路入門アーカイブs
◆ Season03 LTspice電源&アナログ回路入門アーカイブs
◆ Season04 IoT時代のLTspiceアナログ回路入門アーカイブs
◆ Season05 オームの法則から学ぶLTspiceアナログ回路入門アーカイブs
◆ Season06 LTspiceエデュケーショナル・ファイルで学ぶアナログ回路アーカイブs
◆ Season07 LTspiceドット・コマンドから学ぶアナログ回路アーカイブs
◆ Season08 LTspiceで始める実用電子回路入門アーカイブs
◆ Season09 LTspiceで学ぶオーディオ回路入門アーカイブs
◆ Season10 LTspiceとデータシートで学ぶ実践アナログ回路入門アーカイブs
◆ Season11 LTspiceとデータシートで学ぶ実践アナログ回路アーカイブs









