圧電型加速度センサと反転増幅回路で作る振動検出
図1は,OPアンプ(AD8608)(1)を使用した反転増幅回路と圧電型加速度センサ(S1)で構成した振動検出システムです.S1で振動を検出し,OUT端子に振動の大きさに対応した電圧を出力して,マイコンのADコンバータに入力します.CCはセンサと増幅回路をつなぐ,ケーブルの寄生容量です.
S1に加速度のピーク値が100g(ジー)で1kHzの振動が加わったとき,OUT端子に発生する信号のピーク電圧は,(a)~(d)のどれになるでしょうか.ただし,S1のスペックは次のようになっています.

ピーク値が100gで1kHzの振動が加わったとき,OUT端子のピーク電圧は?
●圧電型加速度センサ(S1)のスペック
・感度:1pC/g
・容量:90pF
・周波数応答≈0Hz~6000Hz
(a) 100mV (b) 263mV (c) 526mV (d) 1V

問題文の加速度の単位のg(ジー)は,重力加速度と呼ばれ「1g=9.8m/s2」と定義されています.これは真空中で物体が落下すると,1秒ごとに9.8m/sずつ速度が増加することを表しています.類似の単位である大文字のG(ジー)は,重力加速度比と呼ばれ,地球の重力加速度の何倍かという比を表すときに使われます.
圧電型加速度センサの感度から,100gのときに出力される電荷量を計算し,その電荷がどのように電圧に変換されるかを考えてください.
図1の回路は,反転増幅回路を使用しているため,圧電型加速度センサが接続されているOPアンプの反転入力端子(-)の電圧は,非反転入力端子(+)のVrefと等しくなります.また,反転入力端子には交流電圧が発生しないため,CCにも交流電圧は印加されません.
そのため,S1の交流出力電荷(q)は全て,C1に蓄えられることになります.このとき,コンデンサの電圧(VC1)は,次式で計算することができます.
VC1=q/C1
そして,VC1がOUT端子に現れる信号の振幅になります.
感度が1pC/gのセンサに,100gの加速度が加わったときに発生する電荷(q)は,次式で100pCと計算できます.
q=1pC*100g=100pC
この電荷(q)を使用してVC1を計算すると次式より0.1Vとなります.
VC1=q/C1=100pC/1nF=0.1V
そのため,OUT端子に現れる信号の振幅は100mVになります.
●圧電型加速度センサの構造
圧電型加速度センサの構造にはいくつかの種類があります.図2は,一般的な圧縮型と呼ばれる,圧電型加速度センサの構造の模式図(2)です.他に「シェア型」や「ベンディング型」などがあります.
圧電型加速度センサは,センサに加速度が加わると,重りによって圧電型素子に力が加わります.すると,圧電効果により,圧電素子から,加えられた力に比例した電荷が出力されます.センサに加わる力は加速度に比例するため,センサからは,加速度に比例した電荷が出力されることになります.

センサから,加速度に比例した電荷が出力される.
●圧電型加速度センサの出力電圧
図3は,圧電型加速度センサの出力電圧を計算する等価回路です.

ケーブルの容量値によって出力電圧が変化する.
センサが出力する電荷をqとし,センサ自身の容量値をCS,センサに接続したケーブルの容量をCCとすると,センサの出力電圧(VS)は式1で表されます.
・・・・・・・・・・・・・・・・・・・・・・・・・・・・・・・(1)式1から分かるように,ケーブルの容量値によって出力電圧が変化するため,ケーブルが長くなり,容量値が大きくなると出力電圧が小さくなります.
●圧電型加速度センサ用のアンプ
図4は,反転増幅回路と,圧電型加速度センサを組み合わせた回路です.OPアンプの出力と反転入力端子間には抵抗(R1)とコンデンサ(C1)が接続されています.
R1は,OPアンプの出力直流電圧を定めるためのものです.C1は,電荷を電圧に変換する働きをします.図4のような,電荷を電圧に変換する回路は,チャージ・アンプと呼ばれます.

電荷を電圧に変換する回路として動作し,チャージ・アンプと呼ばれる.
OPアンプが反転増幅回路として動作しているため,A点の電圧はGNDと同じになります.A点がGNDとなっているため,CSとCCには電圧が印加されず,電荷が蓄えられません.
R1が十分大きく,無視できるものとすると,圧電型加速度センサで発生した電荷(q)は,電流(i)に変換され,全てC1に流れます.電流(i)は,電荷(q)を時間微分したものです.その電流がC1に流れることで,C1には電荷(q)が蓄えられます.C1に電荷が蓄えられると,その電荷に対応した電圧がC1に発生します.圧電型加速度センサに発生した電荷をqとすると,OUT端子の電圧(VOUT)は式2で表されます.
・・・・・・・・・・・・・・・・・・・・・・・・・・・・・・・・(2)この式には,CSやCCの項がありません.そのため,ケーブルの長さが変わっても,出力電圧は変化しません.問題文の定数の場合,式3のように0.1Vになります.
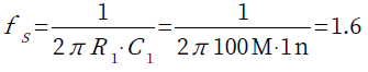
・・・・・・・・・・・・・・・・・・・・・・(3)信号周波数が低くなると,R1の影響が無視できなくなりますが,そのカットオフ周波数(fs)は式4で表されます.問題文の定数では1.6Hzのカットオフ周波数になります.
・・・・・・・・・・・・・・・・・・(4)
●センサ用アンプの周波数特性を検証
図5は,図1をシミュレーションする回路で,圧電型加速度センサ用アンプの周波数特性を検証します.信号源(V1)は,周波数特性を調べるために「AC 1」となっています.使用しているOPアンプは,低バイアス電流でノイズが小さく,低オフセット電圧のAD8608です.定数は図1と同じになっています.

圧電型加速度センサの等価回路は,電圧源(V1)とビヘイビア電流源(B1)で構成している.
3.3Vの単電源で動作させるため,OPアンプの非反転入力端子は,1.25Vの基準電圧源に接続しています.圧電型加速度センサの等価回路は,電圧源(V1)とビヘイビア電流源(B1)で構成しています.V1の電圧(V(Q))を出力電荷とみなし,V(Q)を時間微分したものを,B1の出力電流としています.
図6は,図5のシミュレーション結果です.10Hz以上はフラットな周波数特性となっており,低域のカットオフ周波数は,式4と同じ1.6Hzとなっています.ゲインが180dBとなっていますが,これは1C(クーロン)の電荷を,電圧に変換する係数を表しています.

低域のカットオフ周波数は,式4と同じ1.6Hzとなっている.
●センサ用アンプの出力電圧を検証
図7も,図1をシミュレーションする回路で,圧電型加速度センサ用アンプの出力電圧波形を検証します.図5との違いは,出力電圧波形を調べるために,信号源((V1)に,「SINE(0 100P 1k)」を追加しています.

V1の出力電圧は振幅100pVで1kHzの正弦波としている.
圧電型加速度センサの等価回路内のV1の出力電圧は振幅100pVで1kHzの正弦波としています.これは問題文の,感度が1pC/gの圧電型加速度センサに,加速度のピーク値が100gで1kHzの振動を与えたときの,出力電荷に相当します.また,ケーブル容量による出力電圧の変化を調べるため,ケーブル容量(CC)は「.step」コマンドで100pFと200pFに変化させています.
図8は,図7のシミュレーション結果です.

振幅のピーク値は式3の計算結果と同じ,100mVとなっている.
振幅のピーク値は,式3の計算結果と同じ,100mVとなっています.また,CCが100pFのときと200pFのときの波形は完全に重なっており,振幅がケーブル容量の影響を受けないことが分かります.
以上,圧電型加速度センサ用アンプ(チャージ・アンプ)について解説しました.図1の回路を使用した,チャージ・アンプ・システムの具体的な回路構成に関しては,参考資料(3)を参照してください.
◆参考・引用*文献
(1)AD8608データシート:アナログデバイセズ
(2)圧電型加速度センサ テクニカル・ハンドブック(P6):富士セラミックス
(3)CN0350 - 実用回路およびリファレンス回路情報:アナログデバイセズ
解説に使用しました,LTspiceの回路をダウンロードできます.
LTspice12_008.zip
●データ・ファイル内容
charge_amp_AC.asc:図5の回路
charge_amp_AC.plt:図6のグラフを描画するためのPlot settingsファイル
charge_amp_TRAN.asc:図7の回路
charge_amp_TRAN.plt:図8のグラフを描画するためのPlot settingsファイル
■LTspice関連リンク先
● LTspice ダウンロード先
● LTspice Users Club
● LTspice メール・マガジン全アーカイブs
◆ Season01 LTspice電子回路マラソン・アーカイブs
◆ Season02 LTspiceアナログ電子回路入門アーカイブs
◆ Season03 LTspice電源&アナログ回路入門アーカイブs
◆ Season04 IoT時代のLTspiceアナログ回路入門アーカイブs
◆ Season05 オームの法則から学ぶLTspiceアナログ回路入門アーカイブs
◆ Season06 LTspiceエデュケーショナル・ファイルで学ぶアナログ回路アーカイブs
◆ Season07 LTspiceドット・コマンドから学ぶアナログ回路アーカイブs
◆ Season08 LTspiceで始める実用電子回路入門アーカイブs
◆ Season09 LTspiceで学ぶオーディオ回路入門アーカイブs
◆ Season10 LTspiceとデータシートで学ぶ実践アナログ回路入門アーカイブs
◆ Season11 LTspiceとデータシートで学ぶ実践アナログ回路アーカイブs









