OPアンプとトランジスタで作る可変電圧電源
図1は,OPアンプ(ADA4511)(1)とNPNトランジスタ(2SCR582D3)(2)を使用した,出力電圧可変の実験用電源の回路です.ツェナー・ダイオード(D1)で5.1Vの基準電圧を作り,抵抗値100kΩ,Bカーブ特性のボリューム(VR1)で出力電圧を可変します.VR1の摺動子の位置がセンターのとき,OUT端子の電圧は(a)~(d)のどれでしょうか.

VR1の摺動子の位置がセンターのとき,OUT端子の電圧は?
(a) 2.55V (b) 5.1V (c) 7.65V (d) 10.2V

Bカーブのボリュームは,摺動子の回転角度に対し,直線的に抵抗比が変化します.そのため,摺動子の位置がセンターのとき,OPアンプにはツェナー電圧の1/2の電圧が加わります.そして,OPアンプ(U1)が非反転増幅回路と動作していることを考えると,OUT端子の電圧は簡単に計算できます.
ツェナー電圧が5.1Vのため,OPアンプの+入力端子には2.505Vの電圧が加わります.OPアンプ(U1)が非反転増幅回路として動作しているため,そのゲインは次式となります.
(R1+R2)/R2=(30k+10k)/10k=4
したがって,OUT端子の電圧は次式となります.
2.505V*4=10.2V
●電源回路の構成
図2は,シリーズ・レギュレータと呼ばれる電源回路の原理図です.可変抵抗素子の抵抗値を制御することで,出力電圧が一定になるようにします.誤差増幅器は,出力電圧を抵抗(R1,R2)で分圧した値が,基準電圧と等しくなるように,可変抵抗素子の抵抗値を制御します.
この回路は,基準電圧(Vref)を入力とした,非反転増幅回路と考えることができます.そのため,出力電圧(VOUT)は,式1で表されます.
・・・・・・・・・・・・・・・・・・・・・・・・・・・・・(1)
可変抵抗素子としては,NPNトランジスタやPNPトランジスタ,またはNchMOSFETやPchMOSFETなどが使用できます.

この回路は,基準電圧を入力とした,非反転増幅回路と考えることができる.
●出力電圧可変の動作説明
図3は,図1の出力電圧可変電源の動作を説明するための回路図です.この電源では,可変抵抗素子として,NPNトランジスタ(Q1)を使用しています.そのため,この電源が出力することのできる最大電流は,OPアンプの最大電流と,トランジスタの電流増幅率(β)をかけたものになります.

図2の基準電圧に該当するのが,ツェナー・ダイオード(D1)とボリューム(VR1)です.ツェナー・ダイオードは,流れる電流が変化しても,ほぼ一定の電圧(VZ)を出力することができます.VZをボリュームで分圧したものが,Vrefになります.
使用しているのは,Bカーブのボリュームのため,分圧比は直線的に変化します.ボリュームの抵抗値をRとし,摺動子の位置(k)を0~1で表すと,RAの値は式2で表せます.
・・・・・・・・・・・・・・・・・・・・・・・・・・・・・・・・(2)また,RBの値は式3で表すことができます.
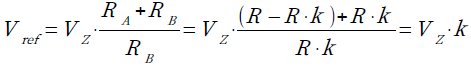
・・・・・・・・・・・・・・・・・・・・・・・・・・・・・・・・・(3)式2および式3を使用すると,Vrefの値は,式4のように求まります.
・・・・・・・・・・(4)出力電圧(VOUT)は,式1に式4を代入して,式5のように求まります.
・・・・・・・・・・・・・・・・・・(5)ボリュームの位置を最大の1にしたときは,VOUTは式6のように20.4Vになります.
・・・・・・・・・・・・・(6)つまりこの電源は,0V~20.4Vまで出力電圧を変化させることができます.なお,ボリュームがセンターのときは,20.4Vの半分の10.2Vになります.
●出力電圧可変電源の動作確認
図4は,図1の出力電圧可変電源回路をシミュレーションするための回路図です.

パラメータ(k)を変化させることで,ボリュームの位置を変えたシミュレーションを行う.
図1のボリューム(VR1)は2つの抵抗(VRA,VRB)に置き換え,パラメータ(k)を変化させることで,ボリュームの位置を変えたシミュレーションを行います.なお「.param」コマンドで抵抗値を計算していますが,0Ωとなることがないように,5mΩ加算しています.また,OUT端子には負荷として1Aの電流源を接続しています.
図5は,図4のシミュレーション結果です.横軸はボリューム位置を表す「k」となっています.

横軸はボリューム位置を表す「k」となっています.
上段は,OUT端子の電圧で,0V~20.3Vまで変化しています.下段は,出力トランジスタ(Q1)の消費電力で,出力電圧が低いほど大きな値となっています.最大値は,21W程度となっているため,トランジスタが過熱しないよう,放熱に十分注意する必要があります.
●出力電圧可変電源の負荷特性の動作確認
図6は出力電圧可変電源回路の負荷特性シミュレーションするための回路です.負荷(IL)の電流値を0Aから1Aまで変化させて出力電圧の変化を確認します.なお,ボリューム位置を表すパラメータ(k)は0.5としています.

負荷(IL)の電流値を0Aから1Aまで変化させて出力電圧の変化を確認する.
図7は,図6のシミュレーション結果です.負荷電流が変化してもOUT端子の電圧はほとんど変化していないことが分かります.

負荷電流が変化してもOUT端子の電圧はほとんど変化していない.
以上,OPアンプとNPNトランジスタを使用した出力電圧可変電源について解説しました.可変抵抗素子としてPNPトランジスタを使用すると,出力電圧の最大値を,入力電圧に近い値にすることができます.ただし,発振安定性が悪化することがある点に,注意が必要です.
◆参考・引用*文献
ADA4511データシート:アナログデバイセズ
2SCR582D3データシート:ローム
解説に使用しました,LTspiceの回路をダウンロードできます.
LTspice12_004.zip
●データ・ファイル内容
Power_supply.asc:図4の回路
Power_supply.plt:図5のグラフを描画するためのPlot settingsファイル
Power_supply_IL.asc:図6の回路
■LTspice関連リンク先
● LTspice ダウンロード先
● LTspice Users Club
● LTspice メール・マガジン全アーカイブs
◆ Season01 LTspice電子回路マラソン・アーカイブs
◆ Season02 LTspiceアナログ電子回路入門アーカイブs
◆ Season03 LTspice電源&アナログ回路入門アーカイブs
◆ Season04 IoT時代のLTspiceアナログ回路入門アーカイブs
◆ Season05 オームの法則から学ぶLTspiceアナログ回路入門アーカイブs
◆ Season06 LTspiceエデュケーショナル・ファイルで学ぶアナログ回路アーカイブs
◆ Season07 LTspiceドット・コマンドから学ぶアナログ回路アーカイブs
◆ Season08 LTspiceで始める実用電子回路入門アーカイブs
◆ Season09 LTspiceで学ぶオーディオ回路入門アーカイブs
◆ Season10 LTspiceとデータシートで学ぶ実践アナログ回路入門アーカイブs
◆ Season11 LTspiceとデータシートで学ぶ実践アナログ回路アーカイブs









