5V単一電源で作るダイナミック・マイク用アンプ
図1は,5V単一電源で動作する,OPアンプ(LT6231)(1)を使用したダイナミック・マイク用アンプの回路図です.R4,R5で電源電圧を分圧し,基準電圧を作っています.使用しているマイクの出力インピーダンスが300Ωで,感度が-54(dBV/Pa)となっています.
このマイクに標準音圧(1Pa)で1kHz音を入力したときに,OUT端子の出力信号が400mVとなるR2の値は,(a)~(d)のどれでしょうか.

マイクに標準音圧(1Pa)の音を入力したとき,OUT端子の出力信号が400mVとなるR2の値は?
(a) 10kΩ (b) 20kΩ (c) 39kΩ (d) 82kΩ

このマイクの感度は,標準音圧(1Pa)の音を入力したとき,そのマイクから出力される電圧を「dBV」で表したものです.そして,dBVという単位は,1Vを基準の0dBとして,電圧値をデシベル表記したものです.
そこで,まず,標準音圧(1Pa)のときのマイクの出力電圧を求め,その電圧を400mVrmsとするゲインを計算します.そして,そのゲインとなるR2の値を求めてください.
図1のマイク感度は,-54dBV/Paなので,標準音圧(1Pa)の音を入力したときの出力電圧は-54dBVとなります.これを通常の電圧に変換すると「10(-54/20)=2mVrms」となります.この電圧を400mVrmsに増幅するために必要なゲインは「400m/2m=200」となります.
図1の回路は,非反転増幅回路となっていため,ゲイン(G)が200倍となるR2の値は「R2=R1*(G-1)=100*(200-1)=19.9k」となります.(a)~(d)でこの値に一番近いのは(b)の20kΩになります.
●ダイナミック・マイクの構造と仕様
ダイナミック・マイクは,スピーカと類似した構造となっていますが,スピーカとは逆に,音を電気信号に変換します.音を検出する振動膜にコイルが接続され,磁石で作られた磁界の中でコイルが振動することで発電し,電気信号を出力します.そのため,ダイナミック・マイクは,外部電源が必要ありません注1.
マイク用アンプを設計する上で重要な仕様は,「感度」です.感度は,マイク用アンプのゲインを決めるために必須の項目です.マイクのデータシート(2)に記載されている感度の単位は,「dBV/Pa」や「dB/Pa」が多く使われています.この場合の感度の数値は,標準音圧(1Pa)のときのマイクの出力電圧をdBVの単位で表したものです.
Pa(パスカル)は,空気の圧力を表す単位です.音は,空気の振動で,空気の圧力が変化していると考えることができます.そのため,マイクの感度は,空気の圧力変化(音圧)に対する電気信号の大きさという形で表現されます.
一方,dBVという単位は,1Vを基準の0dBとして,電圧値をデシベル表記したものです.問題文のマイク感度は,-54dBV/Paとなっていました.これはマイクに1Paの音圧を加えたときのマイクの出力電圧が,-54dBVである,ということです.-54dBVを通常の電圧(VS)に変換すると,式1のように2mVrmsになります.
・・・・・・・・・・・・・・・・・・・・・・・・・・・・(1)つまり,このマイクは,1Paの音圧を加えたときに,2mVrmsの電圧を出力する,ということになります.
●OPアンプを単電源で使用する方法
OPアンプは,正と負の電圧を出力する必要があるため,正負電源で使用するのが基本です.ただし,少し工夫することで,単一電源でも使用することができます.
図2は,OPアンプを,単一電源で使用する方法を説明する回路図です.

R4,R5で電源電圧を分圧し,Ref端子の電圧を電源電圧の1/2の電圧としている.
R4,R5は,電源電圧を分圧し,Ref端子の電圧を電源電圧の1/2の電圧とする基準電圧回路となっています.非反転増幅回路として動作するOPアンプ(U1)の,+入力端子に接続されているバイアス抵抗(R3)を,Ref端子に接続することで,OPアンプをRef電圧基準で動作させ,単一電源で動作させることができます.
なお,R3の値は大きいほど,マイクの出力インピーダンスによる信号の減衰が小さくなります.ただし,一般的に,ダイナミック・マイクの出力インピーダンスの10倍程度にすることが多いようです. Ref端子に接続されているC3は,Ref端子のインピーダンスを下げると共に,電源に含まれるノイズを減衰させるローパス・フィルタの役割をします.このローパス・フィルタのカットオフ周波数(fC1)は式2で表されます.
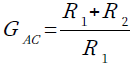
・・・・・・・・・・・・・・・・・・(2)電源ノイズを減衰させるためには,C3の容量値をできるだけ大きくすることが望ましいです.ただし,大きすぎると電源投入後,正常動作するまでの時間が長くなることに注意が必要です.C1とC2はどちらも直流カット用のコンデンサです.図2の回路は非反転増幅回路として動作するため,その交流ゲイン(GAC)は式3で表されます.
・・・・・・・・・・・・・・・・・・・・・・・・・・・・・・・(3)R1とC2が直列に接続されているため,直流ではR1が無限大になったのと等価になります.そのため直流ゲイン(GDC)は式4のように1となります.
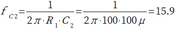
・・・・・・・・・・・・・・・・・・・(4)そして,交流ゲインが3dB低下する,カットオフ周波数(fC2)は式5で求められます.
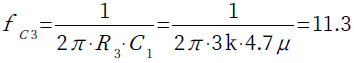
・・・・・・・・・・・・・・・・・(5)また,C1とR3はハイパス・フィルタを構成しています.そのカットオフ周波数(fC3)は式6で求められます.
・・・・・・・・・・・・・・・・・(6)fC2とfC3が等しい場合,アンプ全体としてはQ=0.5の2次のハイパス・フィルタ特性となり,カットオフ周波数ではゲインが6dB低下します.
●R2の値を求める
ここでは,感度が-54dBV/Paのマイクを使用して,1Paの音圧を加えたときの出力が400mVrmsとなるR2の値を求めます.式1のように,感度が-54dBV/Paのマイクに,1Paの音圧を加えたときのマイクの出力電圧は2mVrmsです.出力を400mVとするために必要なマイクアンプのゲイン(G)は,式7のように200倍になります.
・・・・・・・・・・・・・・・・・・・・・・・・・・・・・・・・(7)
式3を変形してR2を求めると,式8のように19.9kになり,24シリーズの抵抗から選択すると20kになります.
・・・・・・・・・・・・・・・・・・・(8)
●ゲインを確認する
図3は,5V単一電源で動作する,ダイナミック・マイク用アンプのゲインをシミュレーションする回路です.AC解析により,ゲインの周波数特性を調べます.

AC解析により,ゲインの周波数特性を調べる.
図4が図3のシミュレーション結果です.低域がカットされたハイパス特性となっています.そして,1kHzのゲインは46dB(200倍)となっており,式7で求めた必要なゲインと一致しています.

1kHzのゲインは46dBとなっている.
●ノイズの小さいOPアンプが必要
ダイナミック・マイクは出力電圧が小さいため,信号を増幅するアンプのノイズが大きいと,小さな音がノイズに埋もれてしまいます.そのため,マイク・アンプに使用するOPアンプは,ノイズの小さいものを選定する必要があります.OPアンプのノイズ性能は,データシートの「入力換算雑音電圧密度 (Input Noise Voltage Density)の値で比較します.図1で使用しているOPアンプのLT6231は,入力換算雑音電圧密度が1.1nV/√Hzとなっており,他のOPアンプに比べ,かなり小さな値となっています.
●ノイズをシミュレーションする
LTspiceでノイズ解析をするときは,図5のように出力端子電圧と,信号源を指定します.解析周波数の設定に関しては,AC解析と同様の設定を行います.図5では,オーディオ周波数対の,20Hzから20kHzの解析を行うように設定しています.

AC解析の設定に加え,出力端子電圧と,信号源を指定する.
図6は,図3の回路のノイズ解析の結果です.

20Hz~20kHzの出力ノイズの総量は50μVrmsとなっている.
回路図のOUT端子をクリックすると,出力ノイズが表示されます.グラフとして表示されるのは,各周波数の1Hz帯域幅のノイズ電圧密度(V/√Hz)です.Ctrlキーを押しながら,上部の[V(onise)]の部分をクリックすると,表示された周波数帯域のノイズの総量(積分値)が表示されます.図6では20Hz~20kHzの出力ノイズの総量が50μVrmsであることが分かります. 標準音圧のときの出力(400mVrms)とノイズの比率(SN比)は式9のように,78dBとなります.
・・・・・・・・・・・・・・・・(9)
●アンプの出力波形を確認する
図7は,5V単一電源で動作する,ダイナミック・マイク用アンプの出力波形をシミュレーションする回路です.図3の回路に直流カット用のコンデンサ(C4)と抵抗(R6)が追加されています.OPアンプを単電源で使用した場合,出力端子には基準電圧と同じ直流電圧が出力されます.次段に接続する機器によっては,この直流電圧が望ましくない場合があります.その場合は,図5のようにコンデンサと抵抗を追加して,出力信号をGND基準で出力するようにします.

直流カット用のコンデンサ(C4)と抵抗(R6)が追加されている.
図8は,図7のシミュレーション結果です.V(out)は2.5Vを中心に正弦波が出力されていますが,V(out_ac)はGNDを中心に正弦波が出力されています.

V(out)は2.5Vを中心に,V(out_ac)はGNDを中心に正弦波が出力されている.
以上,単一電源で動作する,ダイナミック・マイク用アンプについて解説しました.OPアンプは正負電源で使用するのが基本ですが,扱う信号が正電源の範囲内に限定されている場合は,単一電源で使用することができます.そのような用途には,「単一電源用OPアンプ」または,「レール・ツー・レール入出力OPアンプ」と呼ばれているOPアンプが適しています.
◆参考・引用*文献
(1)LT6231データシート:アナログデバイセズ
(2)ダイナミック・マイクロホンSM58-LCEデータシート:SHURE
解説に使用しました,LTspiceの回路をダウンロードできます.
LTspice12_002.zip
●データ・ファイル内容
MIC_AMP.asc:図3の回路
MIC_AMP_noise.asc:図6をシミュレーションするための回路
MIC_AMP_noise.plt:図6のグラフを描画するためのPlot settingsファイル
MIC_AMP_TRAN.asc:図7の回路
MIC_AMP_TRAN.plt:図8のグラフを描画するためのPlot settingsファイル
■LTspice関連リンク先
● LTspice ダウンロード先
● LTspice Users Club
● LTspice メール・マガジン全アーカイブs
◆ Season01 LTspice電子回路マラソン・アーカイブs
◆ Season02 LTspiceアナログ電子回路入門アーカイブs
◆ Season03 LTspice電源&アナログ回路入門アーカイブs
◆ Season04 IoT時代のLTspiceアナログ回路入門アーカイブs
◆ Season05 オームの法則から学ぶLTspiceアナログ回路入門アーカイブs
◆ Season06 LTspiceエデュケーショナル・ファイルで学ぶアナログ回路アーカイブs
◆ Season07 LTspiceドット・コマンドから学ぶアナログ回路アーカイブs
◆ Season08 LTspiceで始める実用電子回路入門アーカイブs
◆ Season09 LTspiceで学ぶオーディオ回路入門アーカイブs
◆ Season10 LTspiceとデータシートで学ぶ実践アナログ回路入門アーカイブs
◆ Season11 LTspiceとデータシートで学ぶ実践アナログ回路アーカイブs









