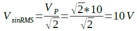
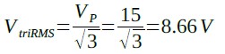
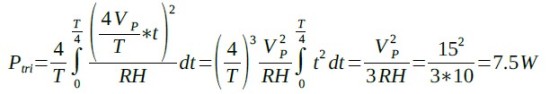
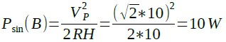
《ダウンロード》一覧
ダウンロードしたいデータを,フリーワードやカテゴリから探せます.
フリーワード検索
カテゴリ
- 画像
- Tech Village(組み込みネットなど)
- トランジスタ技術
- エレキジャック
- ディジタル・デザイン・テクノロジ
- Interface
- TECH I
- CQ ham radio
- エレキジャック・フォーラム
- Smartphone World
- TEST_広告
検索結果一覧
12844件ヒットしました.
«前の20件 ... 427 428 429 430 431 432 433 434 435 436 437 438 439 440 441 442 443 444 445 ... 次の20件»
«前の20件 ... 427 428 429 430 431 432 433 434 435 436 437 438 439 440 441 442 443 444 445 ... 次の20件»








