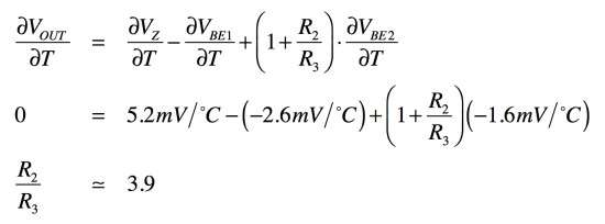
《ダウンロード》一覧
ダウンロードしたいデータを,フリーワードやカテゴリから探せます.
フリーワード検索
カテゴリ
- 画像
- Tech Village(組み込みネットなど)
- トランジスタ技術
- エレキジャック
- ディジタル・デザイン・テクノロジ
- Interface
- TECH I
- CQ ham radio
- エレキジャック・フォーラム
- Smartphone World
- TEST_広告
検索結果一覧
12844件ヒットしました.
«前の20件 ... 399 400 401 402 403 404 405 406 407 408 409 410 411 412 413 414 415 416 417 ... 次の20件»
«前の20件 ... 399 400 401 402 403 404 405 406 407 408 409 410 411 412 413 414 415 416 417 ... 次の20件»








