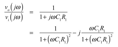
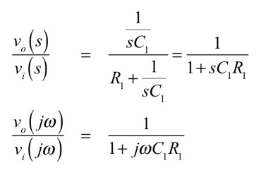
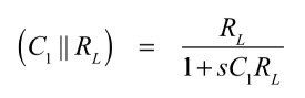
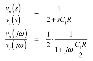
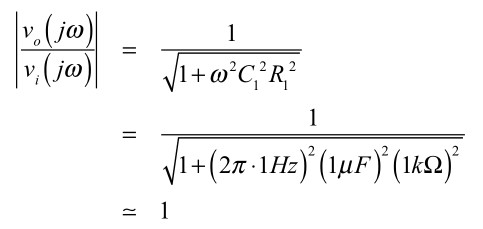
《ダウンロード》一覧
ダウンロードしたいデータを,フリーワードやカテゴリから探せます.
フリーワード検索
カテゴリ
- 画像
- Tech Village(組み込みネットなど)
- トランジスタ技術
- エレキジャック
- ディジタル・デザイン・テクノロジ
- Interface
- TECH I
- CQ ham radio
- エレキジャック・フォーラム
- Smartphone World
- TEST_広告
検索結果一覧
13867件ヒットしました.
«前の20件 ... 411 412 413 414 415 416 417 418 419 420 421 422 423 424 425 426 427 428 429 ... 次の20件»
«前の20件 ... 411 412 413 414 415 416 417 418 419 420 421 422 423 424 425 426 427 428 429 ... 次の20件»








